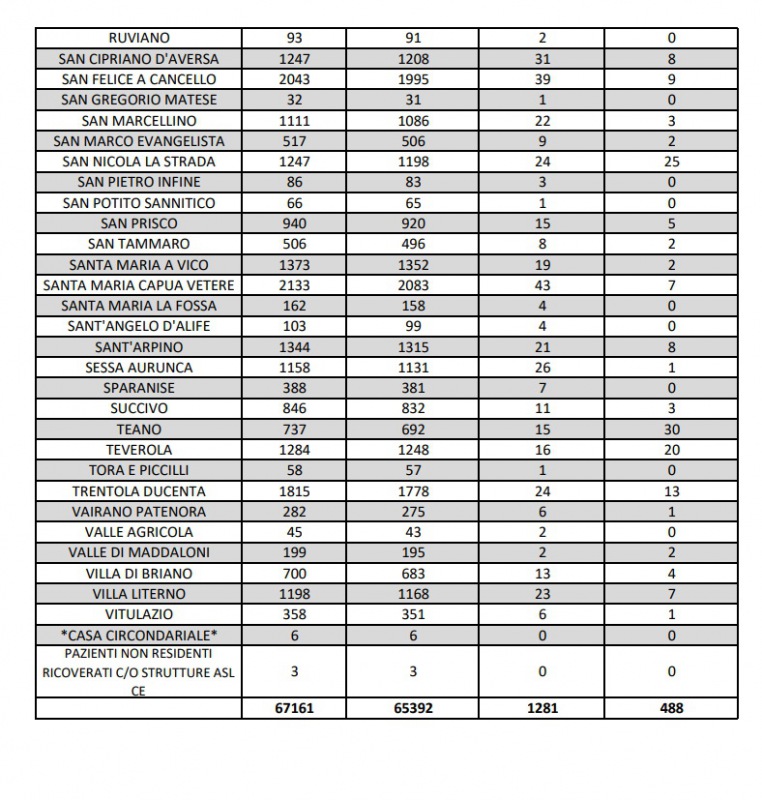
Questa la nota dell'ASL Caserta:
RUOTA IL TELEFONO PER VEDERE BENE




POTREBBE INTERESSARTI ANCHE: Campania in LUTTO. "Lascia un grande vuoto nella nostra comunità. Non lo dimenticheremo" (goldwebtv.it)
GoldWebTV è anche su WhatsApp! Iscriviti al canale per avere le ultime notizie direttamente sul tuo telefonino!