3/11. 2 decessi e 130 nuovi casi Covid in Prov. di Ce. Dati Comune per Comune






Articolo pubblicato il: 03/11/2021 15:49:27

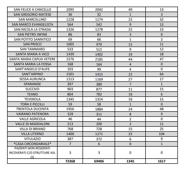
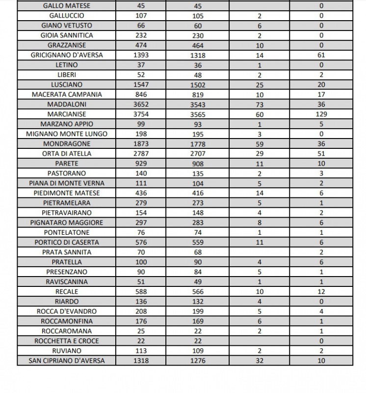
Questa la nota dell'ASL Caserta:

RUOTA IL TELEFONO PER VEDERE BENE