4/11. 3 decessi e aumento di 28 positivi al Covid in Prov. di Ce. Dati Comune per Comune






Articolo pubblicato il: 04/11/2021 15:46:53

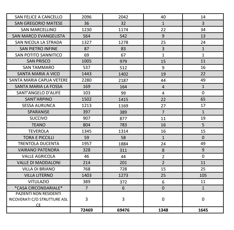
Questa la nota dell'ASL Caserta:

RUOTA IL TELEFONO PER VEDERE BENE