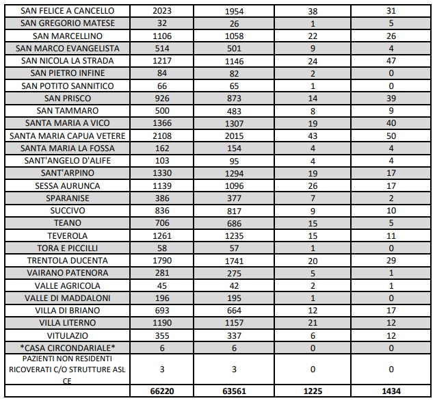
Questo quanto apprendiamo dall'ASL Caserta
ruota il telefono per vedere bene




potrebbe interessarti anche: Allerta Meteo Gialla. Fino alle 8 di domai mattina possibili temporali, fulmini e grandine (goldwebtv.it)
GoldWebTV è anche su WhatsApp! Iscriviti al canale per avere le ultime notizie direttamente sul tuo telefonino!