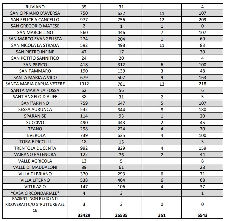
Questo quanto pubblicato dall'ASL Caserta
ruota il telefono per vedere bene
22-05-2026 22:36
21-05-2026 15:49
21-05-2026 09:48
19-05-2026 09:57
18-05-2026 18:42
16-05-2026 19:20
16-05-2026 09:31
14-05-2026 18:18
13-05-2026 17:51
13-05-2026 09:25
10-05-2026 19:14
10-05-2026 10:56
08-05-2026 15:26
06-05-2026 11:34
GoldWebTv è On Air su Facebook
GoldWebTV è anche su WhatsApp! Iscriviti al canale per avere le ultime notizie direttamente sul tuo telefonino!