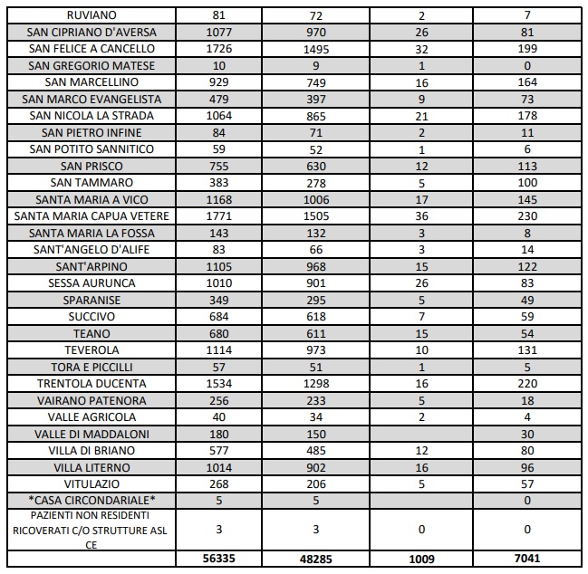
Questo l'aggiornamento epidemiologico dell'ASL CASERTA
ruota il telefono per vedere bene




Potrebbe interessarti anche: Profondo dolore nell'Agro Aversano. "Giornata triste. scomparso stamattina Antonio"
GoldWebTV è anche su WhatsApp! Iscriviti al canale per avere le ultime notizie direttamente sul tuo telefonino!