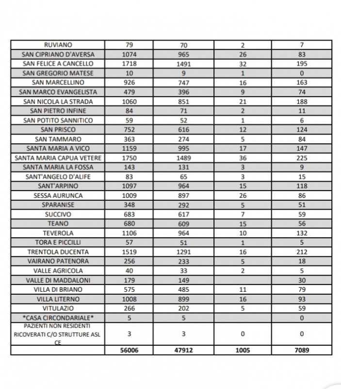
Nonostante la zona rossa da giorni anche in provincia di Caserta, il numero dei positivi non diminuisce più di tanto. La provincia di Caserta non scende sotto i 7mila positivi attuali totali. 284 il numero dei nuovi positivi al coronavirus tra il 6 ed il 7 Aprile contro le 315 guarigioni. Il dato dei morti rimane alto: 15 tra il 6 ed il 7 Aprile 2021. Ecco i dati comune per comune in 'Terra di Lavoro'.



GoldWebTV è anche su WhatsApp! Iscriviti al canale per avere le ultime notizie direttamente sul tuo telefonino!